ОГЭ по физике 07.05.2024. Досрочная волна.
При выполнении заданий с кратким ответом впишите в поле для ответа цифру, которая соответствует номеру правильного ответа, или число, слово, последовательность букв (слов) или цифр. Ответ следует записывать без пробелов и каких-либо дополнительных символов. Дробную часть отделяйте от целой десятичной запятой. Единицы измерений писать не нужно.
Если вариант задан учителем, вы можете вписать или загрузить в систему ответы к заданиям с развернутым ответом. Учитель увидит результаты выполнения заданий с кратким ответом и сможет оценить загруженные ответы к заданиям с развернутым ответом. Выставленные учителем баллы отобразятся в вашей статистике.
Версия для печати и копирования в MS Word
Установите соответствие между физическими понятиями и примерами этих понятий. К каждой позиции первого столбца подберите соответствующую позицию из второго столбца и запишите в таблицу выбранные цифры под соответствующими буквами.
А) физическая величина
Б) единица физической величины
В) прибор для измерения физической величины
1) молекула
2) плавление
3) объем
4) миллиметр
5) динамометр
| A | Б | В |
Ответ:
Установите соответствие между формулами для расчета физических величин и названиями этих величин. В формулах использованы обозначения: T — период обращения; R — радиус окружности.
К каждой позиции первого столбца подберите соответствующую позицию из второго столбца и запишите в таблицу выбранные цифры под соответствующими буквами.
A)
Б)
1) линейная скорость
2) центростремительное ускорение
3) пройденный путь
4) частота обращения
| A | Б |
Ответ:
В солнечный день на пляже бывает невозможно пройти босиком по разогретому песку. Какой способ теплопередачи преимущественно объясняет нагревание песка в солнечный день?
1) теплопроводность
2) излучение
3) конвекция
4) конвекция и теплопроводность
Ответ:
Прочитайте текст и вставьте на места пропусков слова (словосочетания) из приведенного списка.
Источником звука является (А)__________ движение тел. Если ударить по камертону мягким молоточком, то будет слышен звук. Если поднести к звучащему камертону легкий шарик, подвешенный на нити, то шарик будет отскакивать от камертона (см. рисунок). Это свидетельствует о колебаниях ветвей камертона.
Если ударить по камертону с бóльшей силой, то шарик отскакивает от него на (Б)__________ расстояние. Это означает, что при увеличении силы удара (В)__________ колебаний ножек камертона увеличивается. При этом увеличивается (Г)__________ издаваемого звука.
Список слов и словосочетаний:
1) частота
2) амплитуда
3) громкость
4) высота тона
5) колебательное
6) равномерное
7) меньшее
8) большее
Запишите в таблицу выбранные цифры под соответствующими буквами.
| A | Б | В | Г |
Ответ:
На рисунке представлен график зависимости координаты x от времени t для тела, движущегося вдоль оси Ох. Чему равен модуль перемещения тела за 6 с от начала движения? Ответ запишите в метрах.
Ответ:
В U-образном сосуде находятся две несмешивающиеся жидкости. Во сколько раз плотность жидкости 1 меньше плотности жидкости 2?
Ответ:
На диаграмме для двух веществ приведены значения количества теплоты, необходимого для плавления 500 г вещества, нагретого до температуры плавления. Во сколько раз удельная теплота плавления второго вещества больше удельной теплоты плавления первого вещества?
Ответ:
Одному из двух одинаковых металлических шариков сообщили заряд −8 нКл, другому — заряд −2 нКл. Затем шарики привели в соприкосновение. Каким станет заряд первого шарика после соединения? Ответ запишите в нанокулонах с учетом знака.
Ответ:
На рисунке изображены три предмета: 1, 2 и 3. Изображение какого предмета в тонкой собирающей линзе, фокусное расстояние которой F, будет увеличенным, перевернутым и действительным?
Ответ:
Изотоп золота претерпевает
-распад. Чему равно массовое число ядра, полученного в результате этого распада?
Ответ:
Груз, подвешенный к динамометру, с постоянной скоростью опускают в стакан, частично заполненный водой, до полного погружения груза (см. рисунок). Как в процессе погружения изменяются сила тяжести, действующая на груз, и сила давления воды на дно сосуда?
Для каждой величины определите соответствующий характер изменения:
1) увеличивается
2) уменьшается
3) не изменяется
Запишите выбранные цифры для каждой физической величины. Цифры в ответе могут повторяться.
| Сила тяжести | Сила давления на дно сосуда |
|---|---|
Ответ:
На рисунке изображена электрическая цепь, состоящая из источника тока, резистора и реостата. Как изменяются при передвижении ползунка реостата влево его сопротивление и сила тока в цепи? Для каждой величины определите соответствующий характер изменения:
1) увеличивается
2) уменьшается
3) не изменяется
Запишите в таблицу выбранные цифры для каждой физической величины. Цифры в ответе могут повторяться.
| Сопротивление реостата 2 | Сила тока в цепи |
На рисунке представлены результаты исследования движения снаряда, выпущенного под углом к горизонту с одинаковой по модулю начальной скоростью, в зависимости от угла выстрела.
Из предложенного перечня выберите два утверждения, соответствующих проведенным наблюдениям. Укажите их номера.
1) Длительность полета снаряда не зависит от угла выстрела.
2) Максимальная дальность полета соответствует углу выстрела 45° к горизонту.
3) Дальность полета увеличивается с увеличением угла выстрела.
4) Время полета снаряда, выпущенного под углом 15° к горизонту, равно времени полета снаряда, выпущенного под углом 75° к горизонту
5) Дальности полета при углах выстрела 30° и 60° к горизонту совпадают.
Ответ:
В справочнике физических свойств различных материалов представлена следующая таблица.
| Вещество | Плотность в твердом состоянии*, г/см3 | Температура плавления, | Удельная теплота плавления, кДж/кг |
|---|---|---|---|
| Алюминий | 2,70 | 660 | 380 |
| Медь | 8,90 | 1083 | 180 |
| Свинец | 11,35 | 327 | 25 |
| Серебро | 10,50 | 960 | 87 |
| Цинк | 7,10 | 420 | 120 |
*Плотность расплавленного металла считать практически равной его плотности в твердом состоянии.
Используя данные таблицы, выберите из предложенного перечня два верных утверждения. Укажите их номера.
1) Кольцо из серебра нельзя расплавить в алюминиевой посуде.
2) Алюминиевая проволока утонет в расплавленном цинке.
3) Для плавления 3 кг цинка, взятого при температуре плавления, потребуется такое же количество теплоты, что и для плавления 2 кг меди при ее температуре плавления.
4) Свинцовый шарик будет плавать в расплавленной меди при частичном погружении.
5) Плотность алюминия почти в 3 раза больше плотности меди.
Ответ:
Для измерения силы тока, проходящего через лампу, и электрического напряжения на лампе ученик собрал электрическую цепь, представленную на рисунке. Какой из приборов (амперметр или вольтметр), согласно целям эксперимента, включен в электрическую цепь неправильно?
1) только амперметр
2) только вольтметр
3) и амперметр, и вольтметр включены правильно
4) и амперметр, и вольтметр включены неправильно
Ответ:
Две жидкости одинаковой массы, имеющие одинаковую начальную температуру 20 °C, нагревают в одинаковых сосудах на одинаковых горелках (см. рисунок). В некоторый момент времени измеряют температуру жидкостей 1 и 2 и получают значения температур соответственно 60 °C и 40 °C.
Из предложенного перечня выберите два утверждения, соответствующих экспериментальным наблюдениям. Укажите их номера.
1) За время наблюдения изменение температуры первой жидкости в 2 раза превышает изменение температуры второй жидкости.
2) Удельная теплоемкость второй жидкости больше удельной теплоемкости первой жидкости.
3) Температура кипения второй жидкости меньше температуры кипения первой жидкости.
4) В процессе эксперимента испарение первой жидкости происходило более интенсивно, чем второй жидкости.
5) В процессе эксперимента первая жидкость получила большее количество теплоты, чем вторая жидкость.
Ответ:
Используя собирающую линзу 1, экран, линейку, соберите экспериментальную установку для определения оптической силы линзы. В качестве источника света используйте свет от удаленного окна. Абсолютная погрешность измерения расстояния составляет ±2 мм.
В бланке ответов № 2:
1) сделайте рисунок экспериментальной установки;
2) запишите формулу для расчета оптической силы линзы;
3) укажите результат измерения фокусного расстояния линзы с учетом абсолютной погрешности измерения;
4) запишите значение оптической силы линзы.
На следующей странице вам будет предложено проверить их самостоятельно.
Установите соответствие между техническими устройствами и действиями электрического тока, лежащими в основе их принципа действия.
К каждой позиции первого столбца подберите соответствующую позицию из второго столбца.
А) двигатель постоянного тока
Б) электрический утюг
1) тепловое
2) световое
3) химическое
4) магнитное
Запишите в таблицу выбранные цифры под соответствующими буквами.
| A | Б |
Ответ:
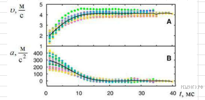
Выберите два верных утверждения, которые соответствуют содержанию текста. Запишите в ответ их номера.
1) На основании анализа видеокадров можно утверждать, что изо рта брызгуна струя воды вылетает с небольшой скоростью около 2 м/с и большим ускорением 200−400 м/с2.
2) Согласно графикам, приведенным в тексте, струя движется замедленно первые 15 мс, а
затем, следующие 15 мс, — равномерно со скоростью 4 м/с.
3) В процессе плевка скорость выплевываемой брызгуном жидкости не изменяется.
4) В процессе полета масса воды, выпущенной рыбой-брызгуном, практически не изменяется.
5) Сила удара струи о насекомое превышает его вес в 10 раз.
Ответ:
На рисунке изображена цилиндрическая модель струи. Выпущенная рыбой-брызгуном, в различные моменты времени после «плевка». В какой (-ие) моменты времени сила удара струи о препятствие будет наибольшей? Ответ поясните. Считать, что скорость передней и задней частей струи в процессе движения не меняются, а после удара струя не отражается.
На следующей странице вам будет предложено проверить их самостоятельно.
Сравните выталкивающие силы, действующие на один и тот же деревянный брусок, плавающий сначала в чистой воде, а потом в морской? Ответ поясните.
На следующей странице вам будет предложено проверить их самостоятельно.
Александр поместил свой мобильный телефон на подставку с войлочным покрытием под колокол воздушного насоса и откачал весь воздух (см. рисунок). Услышит ли в этом случае Александр звонок от друга? Ответ поясните.
На следующей странице вам будет предложено проверить их самостоятельно.
Чему равно напряжение на концах реостата, если мощность, потребляемая реостатом, равна 30 Вт? Реостат изготовлен из никелиновой проволоки длиной 3 м и площадью поперечного сечения 0,25 мм2.
На следующей странице вам будет предложено проверить их самостоятельно.
Металлический шар упал с высоты h = 26 м на свинцовую пластину массой m2 = 1 кг и остановился. При этом пластина нагрелась на 3,2 °C. Чему равна масса шара, если на нагревание пластины пошло 80% выделившегося при ударе количества теплоты?
На следующей странице вам будет предложено проверить их самостоятельно.
Транспортер равномерно поднимает груз массой 190 кг на высоту 9 м за 50 с. Определите силу тока в электродвигателе, если напряжение в электрической сети 380 В. КПД двигателя транспортера составляет 60%.
На следующей странице вам будет предложено проверить их самостоятельно.

